Web Analytics Made Easy - Statcounter
places to rent in finchley Finchley cemetery photographic

places to rent in finchley Finchley cemetery photographic

2 bed flat to rent in anson road, cricklewood nw2

If you are looking for Homebase Site in High Road North Finchley with Development Potential you've came to the right web. We have 35 Images about Homebase Site in High Road North Finchley with Development Potential like Hollywood Bowl - Finchley - Places to go | Lets Go With The Children, 2-Bedroom Flat To Rent - Finchley N3 - VeeZed Residential and also Azerbaijan | Tovuz - Frisaga. Here it is:

Homebase Site In High Road North Finchley With Development Potential

Homebase Site in High Road North Finchley with Development Potential londondevelopmentsites.com

finchley development

2 Bed Flat To Rent In Anson Road, Cricklewood NW2 - Zoopla

2 bed flat to rent in Anson Road, Cricklewood NW2 - Zoopla www.zoopla.co.uk

2-Bedroom Flat To Rent - Finchley N3 - VeeZed Residential

2-Bedroom Flat To Rent - Finchley N3 - VeeZed Residential veezedresidential.co.uk

n3 finchley agreed

Living In East Finchley: Things To Do, Safety And Rent. Is It Worth It?

Living in East Finchley: Things To Do, Safety and Rent. Is It Worth It? tripsget.com

finchley cafes tripsget

2-Bedroom Flat To Rent - Finchley N3 - VeeZed Residential

2-Bedroom Flat To Rent - Finchley N3 - VeeZed Residential veezedresidential.co.uk

finchley n3

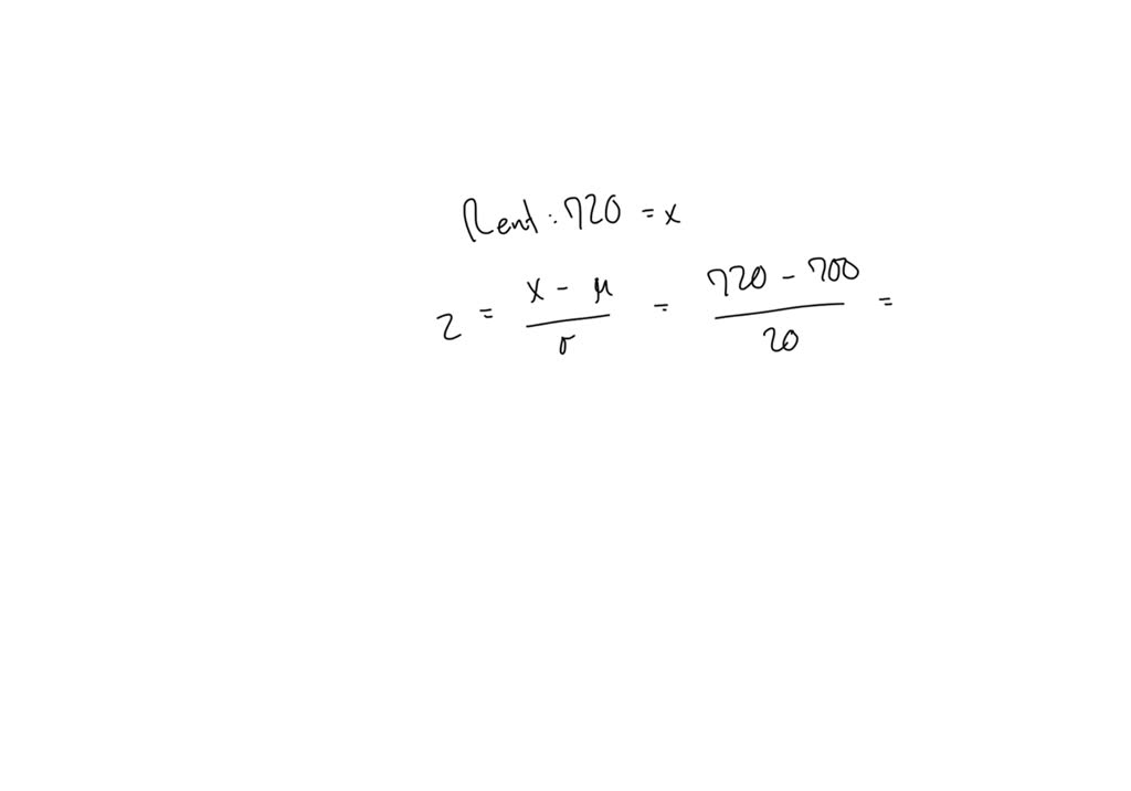
SOLVED: Use Excel Or MegaStat To Sort And Standardize The Data. What Is

SOLVED: Use Excel or MegaStat to sort and standardize the data. What is www.numerade.com

Pin On Youth

Pin on Youth www.pinterest.com

christ

Living In East Finchley: Things To Do, Safety And Rent. Is It Worth It?

Living in East Finchley: Things To Do, Safety and Rent. Is It Worth It? tripsget.com

finchley tripsget

2 Bed Flat To Rent In Finchley Court, Ballards Lane, London N3 - Zoopla

2 bed flat to rent in Finchley Court, Ballards Lane, London N3 - Zoopla www.zoopla.co.uk

Places Of The Dead, A Photographic Journey: East Finchley Cemetery

Places of the Dead, A Photographic Journey: East Finchley Cemetery placesofthedead.blogspot.com

finchley cemetery photographic

1 Bed Flat To Rent In Finchley Road, Kingstanding, Birmingham B44 - Zoopla

1 bed flat to rent in Finchley Road, Kingstanding, Birmingham B44 - Zoopla www.zoopla.co.uk

Flat For Sale In Finchley Road, London, NW11 - HAM012340165 | Knight Frank

flat for sale in Finchley Road, London, NW11 - HAM012340165 | Knight Frank www.knightfrank.com

2 Bed Flat To Rent In East End Road, East Finchley N2 - Zoopla

2 bed flat to rent in East End Road, East Finchley N2 - Zoopla www.zoopla.co.uk

A Three Bedroom Flat Close To North Finchley Retail Complex, Shops And

A Three Bedroom Flat Close to North Finchley Retail Complex, Shops and www.gumtree.com

Creative Placemaking For North Finchley Town Centre - North Finchley

Creative Placemaking for North Finchley Town Centre - North Finchley northfinchleytowncentre.co.uk

Places Of The Dead, A Photographic Journey: East Finchley Cemetery

Places of the Dead, A Photographic Journey: East Finchley Cemetery placesofthedead.blogspot.com

cemetery finchley photographic pam

Azerbaijan | Cuisine Of Ganja - Frisaga

Azerbaijan | Cuisine of Ganja - Frisaga www.frisaga.com

Azerbaijan | Entertainment In Gabala - Frisaga

Azerbaijan | Entertainment in Gabala - Frisaga www.frisaga.com

2 Bed Flat To Rent In Finchley Road, Golders Green, London NW11 - Zoopla

2 bed flat to rent in Finchley Road, Golders Green, London NW11 - Zoopla www.zoopla.co.uk

Finchley - London Borough Of Barnet | Barnet, Therapeutic Massage

Finchley - London Borough of Barnet | Barnet, Therapeutic massage www.pinterest.co.uk

Flat To Rent, Finchley Central, London, N3 - May 2020 - YouTube

Flat to Rent, Finchley Central, London, N3 - May 2020 - YouTube www.youtube.com

finchley central london

Azerbaijan | Gadabay - Frisaga

Azerbaijan | Gadabay - Frisaga www.frisaga.com

East Finchley Tube Station, London Muswell Hill, Streamline Moderne

East Finchley Tube Station, London Muswell Hill, Streamline Moderne www.pinterest.com

london station tube finchley choose board east

Azerbaijan | Altiagach - Frisaga

Azerbaijan | Altiagach - Frisaga www.frisaga.com

4 Bed End Terrace House To Rent In Finchley Park, North Finchley N12

4 bed end terrace house to rent in Finchley Park, North Finchley N12 www.zoopla.co.uk

THE 10 BEST Restaurants & Places To Eat In North Finchley 2023

THE 10 BEST Restaurants & Places to Eat in North Finchley 2023 www.tripadvisor.co.uk

Places Of The Dead, A Photographic Journey: East Finchley Cemetery

Places of the Dead, A Photographic Journey: East Finchley Cemetery placesofthedead.blogspot.com

cemetery finchley photographic journey damp wilderness deserted

Azerbaijan | Balakan - Frisaga

Azerbaijan | Balakan - Frisaga www.frisaga.com

The Best Of Finchley In Photos | Londonist

The Best Of Finchley In Photos | Londonist londonist.com

finchley central londonist robin station

2 Bed Flat To Rent In Finchley Road, Swiss Cottage NW3 - Zoopla

2 bed flat to rent in Finchley Road, Swiss Cottage NW3 - Zoopla www.zoopla.co.uk

Hollywood Bowl - Finchley - Places To Go | Lets Go With The Children

Hollywood Bowl - Finchley - Places to go | Lets Go With The Children letsgowiththechildren.co.uk

hollywood bowl finchley letsgowiththechildren vue go

Azerbaijan | Tovuz - Frisaga

Azerbaijan | Tovuz - Frisaga www.frisaga.com

1 Bedroom Flat To Rent, Regents Park Road, London, N3 £1,295 Pcm For

1 bedroom Flat to rent, Regents Park Road, London, N3 £1,295 pcm for www.listedbuy.com

19 Best Places To Live In North London - Swedbank.nl

19 Best Places to Live in North London - swedbank.nl www.swedbank.nl

Azerbaijan | History Of Ganja - Frisaga

Azerbaijan | History of Ganja - Frisaga www.frisaga.com

Hollywood bowl. Finchley development. Cemetery finchley photographic journey damp wilderness deserted